灌云教师招聘是江苏省连云港市灌云县教育系统为补充中小学、幼儿园教师队伍而开展的重要人才引进工作,通常由灌云县教育局统一组织实施,面向社会公开招聘符合岗位要求的优秀人才,招聘工作坚持“公开、平等、竞争、择优”原则,旨在选拔具备良好职业道德、扎实专业素养和较强教学能力的教育工作者,以提升区域教育教学质量。

招聘基本条件与流程
-
基本条件
- 学历与专业:应聘者需具备国家承认的本科及以上学历,幼儿园教师岗位可放宽至大专学历,且专业与报考岗位要求相符或相近。
- 教师资格:须持有相应学段及学科的教师资格证书(应届毕业生可凭教师资格考试合格证明报考,但需在入职前取得证书)。
- 年龄限制:一般为18-35周岁,部分岗位对硕士研究生或高级职称人员可适当放宽至40周岁。
- 其他要求:具有正常履行岗位职责的身体条件和心理素质,无违法违纪记录,符合《江苏省事业单位公开招聘人员办法》相关规定。
-
招聘流程
招聘工作通常按以下环节开展:- 发布公告:一般在灌云县人民政府官网、教育局官网或“灌云微教育”等官方平台发布招聘公告,明确招聘岗位、人数、条件及报名方式。
- 网上报名与资格初审:应聘者需在规定时间内通过指定系统提交个人信息(含身份证、学历证书、教师资格证等材料),由招聘单位进行资格初审。
- 笔试:主要考察教育公共知识(含教育学、心理学、教育法律法规等)和学科专业知识,满分100分,按笔试成绩从高到低确定面试入围人选。
- 面试:采用试讲、说课、结构化面试等形式,重点考察教学能力、综合素质及岗位匹配度,面试成绩占总成绩的50%-60%。
- 体检与考察:根据总成绩确定体检人员,体检合格后进行考察(含思想政治表现、道德品质、业务能力等)。
- 公示与聘用:对拟聘人员进行为期5个工作日的公示,无异议后办理聘用手续,纳入事业单位编制管理。
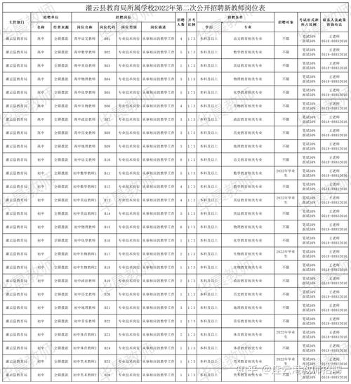
招聘岗位与备考重点
近年来,灌云教师招聘岗位涵盖幼儿园、小学、初中及高中各学段,以语文、数学、英语、音乐、体育、美术等学科为主,部分岗位针对特殊教育、心理健康教育等紧缺领域定向招聘,备考时,需重点关注以下内容:
- 笔试:教育公共知识建议参考《江苏省中小学教师招聘考试大纲》,学科知识需夯实专业基础,关注新课改理念及学科核心素养。
- 面试:提前准备10-15分钟试讲内容,需突出教学设计、师生互动及课堂调控能力,结构化面试可参考“教育教学应急处理”“班级管理”等高频题型。
待遇与发展保障
聘用教师享受国家规定的事业单位工资福利,包括基本工资、绩效工资、五险一金及各类补贴(如教龄津贴、班主任津贴等),灌云县教育局为青年教师提供“青蓝工程”师徒结对、教学技能培训、职称评定通道等职业发展支持,助力教师专业成长。

相关问答FAQs
Q1:非师范类专业毕业生能否报考灌云教师招聘?
A:可以,只要符合学历、专业及教师资格证等岗位要求,非师范类专业毕业生均可报考,但需注意,部分岗位可能明确要求“师范类专业”,需仔细阅读招聘公告中的岗位条件表。
Q2:教师资格证任教学科与报考岗位不一致怎么办?
A:一般情况下,教师资格证任教学科需与报考岗位学科一致或高度相关,若不一致,需以招聘公告中“岗位专业要求”为准,部分岗位允许“相近专业”报考,建议提前咨询教育局确认具体政策。

