东海县教师招聘是江苏省连云港市东海县教育系统为吸纳优秀教育人才、优化教师队伍结构、提升教育教学质量而定期组织开展的重要人才引进活动,招聘工作通常由东海县教育局统筹,会同县人力资源和社会保障局等部门共同实施,面向社会公开招聘各类学科教师及教辅人员,旨在满足中小学、幼儿园等教育机构的用人需求,保障区域教育事业的可持续发展。

招聘背景与重要性
东海县作为连云港市的人口大县和教育大县,近年来始终将教育放在优先发展的战略位置,随着城镇化进程加快、二胎政策放开以及教育质量的持续提升,全县中小学及幼儿园的学位需求逐年增加,对高素质教师队伍的需求也愈发迫切,教师招聘工作不仅关系到教师队伍的补充与更新,更直接影响着区域教育公平、教学质量的提升以及学生的全面发展,东海县教师招聘始终坚持“公开、公平、公正、竞争、择优”的原则,通过规范的程序选拔具备扎实专业知识、先进教育理念和良好职业素养的优秀人才,为东海县教育事业发展注入新鲜血液。
招聘对象与基本条件
东海县教师招聘对象通常分为两类:一是应届毕业生(含择业期内未就业毕业生),二是社会在职人员,报考人员需满足以下基本条件:
- 国籍与政治素养:具有中华人民共和国国籍,拥护中国共产党领导,热爱教育事业,遵守宪法和法律,具有良好的思想政治素质和职业道德。
- 学历与专业要求:应聘者需具备国家承认的本科及以上学历,且学历所学专业与报考学科岗位要求一致或高度相关;部分幼儿园岗位或紧缺学科岗位可适当放宽至专科学历,但需具备相应的教师资格证和教学能力。
- 教师资格:须持有与报考岗位学段、学科相应的教师资格证书(应届毕业生可凭教师资格考试合格证明报名,但须在录用前取得证书)。
- 年龄限制:一般要求年龄在30周岁以下(应届毕业生可放宽至35周岁),部分高层次人才或紧缺学科岗位年龄限制可适当放宽。
- 身体条件:具备正常履行职责的身体条件,符合《教师资格认定体检标准》要求。
- 其他要求:具备一定的教学组织能力、沟通能力和团队协作精神,无违法违纪记录。
招聘流程与时间安排
东海县教师招聘流程通常包括发布公告、网上报名、资格初审、笔试、资格复审、面试、体检、考察、公示录用等环节,具体时间安排每年略有调整,一般集中在上半年(3-6月)或下半年(9-11月)开展。
(一)发布公告与报名
招聘公告一般通过东海县人民政府官网、东海县教育局官网、“东海微教育”微信公众号等渠道发布,明确招聘岗位、人数、条件、流程及报名时间,报名采用网络方式进行,应聘者需在规定时间内登录指定报名系统,填写个人信息、上传相关证明材料(身份证、学历学位证、教师资格证、获奖证书等),并选择符合条件的岗位报考,每人限报一个岗位,报名期间可修改信息,逾期不再受理。

(二)资格初审与笔试
资格初审由招聘单位根据报名条件进行线上审核,主要核实应聘者的学历、专业、资格证等基本信息是否符合岗位要求,初审通过后,应聘者需缴纳笔试费用,并打印准考证,笔试科目通常包括《教育公共知识》和《学科专业知识》两科,满分均为100分。《教育公共知识》主要考查教育学、心理学、教育法律法规、教师职业道德等内容;《学科专业知识》则针对不同岗位考查对应学科的基础知识、教学设计及学科素养,笔试结束后,根据成绩从高到低,按岗位招聘计划数的1:3比例确定资格复审人员。
(三)资格复审与面试
资格复审需应聘者携带报名材料原件及复印件到指定地点进行现场审核,重点核实应聘者的身份、学历、资格证等材料的真实性和有效性,复审合格者进入面试环节,面试形式一般为模拟上课(试讲)、说课或结构化面试,主要考查应聘者的教学能力、语言表达、板书设计、课堂调控能力及职业认知等,面试成绩满分100分,合格线为60分,面试不合格者直接淘汰,最终总成绩按笔试成绩占40%、面试成绩占60%的比例计算,从高到低确定体检考察人选。
(四)体检、考察与公示
体检参照《江苏省教师资格申请人员体检标准及办法》执行,考察侧重于应聘者的思想政治表现、道德品质、业务能力、工作实绩以及是否需要回避等情况,体检考察合格者确定为拟录用人员,在东海县官网进行公示,公示期不少于5个工作日,公示无异议后,办理录用手续,签订聘用合同,实行试用期制度,试用期满考核不合格者解除聘用。
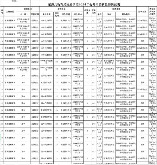
招聘岗位与学科分布
东海县教师招聘岗位覆盖幼儿园、小学、初中、高中等各个学段,学科设置齐全,包括语文、数学、英语、物理、化学、生物、历史、地理、政治、音乐、体育、美术、信息技术等,具体招聘岗位数量和学科分布每年根据教育系统实际需求动态调整,例如2025年招聘计划中,小学阶段语文、数学教师岗位需求较大,高中阶段物理、历史等学科存在一定缺口,幼儿园岗位则更侧重应聘者的保教能力与艺术特长,以下为2025年东海县教师招聘岗位部分学科需求示例表:
| 学段 | 招聘学科 | 招聘人数(人) | 学历要求 | 专业要求 |
|---|---|---|---|---|
| 幼儿园 | 保育教育 | 30 | 大专及以上 | 学前教育、艺术教育等相关专业 |
| 小学 | 语文 | 45 | 本科及以上 | 汉语言文学、小学教育等 |
| 小学 | 数学 | 40 | 本科及以上 | 数学与应用数学、小学教育等 |
| 初中 | 英语 | 25 | 本科及以上 | 英语、商务英语等 |
| 高中 | 物理 | 15 | 本科及以上 | 物理学、应用物理学等 |
| 高中 | 历史 | 12 | 本科及以上 | 历史学、世界史等 |
备考建议与注意事项
- 关注官方信息:及时登录东海县教育局官网或关注官方微信公众号,获取最新招聘公告、考试大纲及时间安排,避免错过重要节点。
- 科学备考笔试:系统学习教育学、心理学等公共知识,同时巩固学科专业知识,多做历年真题和模拟题,熟悉考试题型和命题规律。
- 重视面试准备:提前熟悉教材,掌握教学设计方法,多进行模拟上课练习,注重课堂互动与教学创新,展现良好的教学素养。
- 材料真实有效:报名时确保所有信息真实,上传材料清晰完整,避免因材料不符影响资格审核。
- 调整心态,积极应考:教师招聘竞争激烈,应保持良好心态,合理规划复习时间,全力以赴备考。
相关问答FAQs
问题1:东海县教师招聘对应届毕业生是否有倾斜政策?
解答:是的,东海县教师招聘对应届毕业生(含择业期内未就业毕业生)有一定政策倾斜,部分岗位明确限定“应届毕业生可报”,且在笔试成绩相同的情况下,应届毕业生优先进入下一环节;应届毕业生可凭学校出具的就业推荐表或教师资格考试合格证明报名,但须在录用前取得相应的学历学位证书和教师资格证书,否则取消录用资格。
问题2:非师范类毕业生可以报考东海县教师招聘吗?
解答:可以,非师范类毕业生只要符合招聘岗位的学历、专业、教师资格等要求,均可报考,非师范类本科毕业生若取得相应学段和学科的教师资格证,且所学专业与报考学科一致或高度相关,即可正常报名,但需注意,部分岗位可能会明确要求“师范类专业”或“具有教学经验”,非师范类毕业生需仔细阅读招聘公告中的岗位限制条件。
